티스토리 뷰

<아빠와 딸의 주식 투자 레슨>은 기업의 가치에 입각한 투자를 배워보고 싶은 투자자에게 추천하는 책입니다. 우리나라에서는 재야 고수로 잘 알려진 김철광님(필명 바람의 숲)께서 추천하여 널리 알려진 책입니다. 김철광님은 회사를 다니면서도 50억원 이상의 자산을 이룬 장기 가치투자자로서 삼프로TV나 허영만 화백의 <6000만원>에도 소개된 적이 있습니다. 이런 재야고수가 출판사에 직접 번역 및 출판을 재촉할 정도로 가치투자자에게는 인정받는 책 <아빠와 딸의 주식 투자 레슨>. 지금부터 이 책의 저자와 주요 내용, 책에 대한 저의 평가를 말씀드리겠습니다.
1. 믿을 수 있는 스승을 가진 초보 제자의 좌충우돌
저자는 초보 투자자였던 딸 대니얼 타운과 베테랑 주식 투자자인 아빠 필 타운입니다. 책은 전반적으로 딸의 시점에서 진행되는 주식나라 여행기 같은 느낌입니다. 딸 대니얼 타운은 30대 중반으로서 열심히 공부하여 변호사가 되었습니다. 하지만 주80시간의 노동에 계속해서 시달린 딸은 몸이 아프고 나서야 이렇게는 계속 일을 할 수가 없다고 생각하고 아빠에게 도움을 요청합니다.
책이 진행되는 동안 딸은 다음 두 가지 질문을 해결해 나가면서 투자를 직접 하기로 결심합니다.
1) 투자를 해야하는가?
인플레이션은 현금의 가치를 지속적으로 낮춥니다. 내가 가진 현금의 가치를 지켜내기 위해서는 물가상승률 이상의 수익이 반드시 필요합니다. 그리고 물가 상승률은 언제나 예금 금리보다 높기때문에 우리는 투자를 반드시 해야합니다.
2) 스스로 투자할 것인가? 전문 투자자에게 자금을 위임할 것인가?
시장 수익률이 연 7퍼센트 수준이라면 펀드 수수료를 지불하고 남은 네 몫은 5퍼센트야. 30년간 1,800만원씩 투자하면 은퇴하고 7년이 지난 72세가 되면 가진 돈이 바닥난다는 뜻이야. 그리고 죽을 때까지 월마트에 서서 일해야겠지.
대부분의 펀드 수익률은 시장 수익률과 비슷하거나 못미친다고 합니다. 이런 수익률로는 경제적 자유는 물론 노후 준비조차 제대로 되지 않습니다. 시장수익률보다 좋은 수익을 내는 펀드를 찾아내는 것도 많은 공부가 필요하다는 것이 아빠 필 타운의 의견입니다.
2. 찰리 멍거의 투자를 배우자
아빠는 딸에게 찰리 멍거의 원칙 네 가지를 알려줍니다.
- 이해할 수 있는 기업에 투자하라
- 고유하고 지속 가능한 경쟁우위를 가진 기업에 투자하라(경제적 해자)
- 진정성 있고 유능한 경영진이 있는 기업에 투자하라
- 타당한 수준에 안전마진까지 확보한 가격에 매수하라
위 네 가지 원칙은 4~8챕터의 주요내용을 차지할 정도로 계속해서 강조됩니다. 다르게 말하면 이 네 가지 원칙만 잘 지켜도 가치투자를 하는데에 있어서 문제가 없다는 뜻입니다. 이 중에서도 특히 감명 깊게 읽은 경제적 해자와 안전마진에 대한 내용을 정리해보겠습니다.
1) 경제적해자
해자에는 다섯 가지 종류가 있습니다.
- 브랜드 : 코카콜라, 펩시와 같이 산업을 대표하는 브랜드가 된 경우를 의미합니다.
- 교체 : 애플처럼 한 번 사용하고 난 뒤에는 경쟁 기업으로 갈아타기 힘든 상품이나 서비스를 말합니다. 카카오톡이나 라인처럼 서비스를 갈아탈 경우 기존 접근을 잃는 네트워크 효과도 여기에 해당합니다. 책에는 나와있지 않지만 ERP처럼 락인(Lock in)효과를 가진 산업군에 먼저 진입한 기업도 이러한 해자 효과를 누리고 있다고 생각합니다.
- 유료교량 : 기업이 새롭게 진입할 때 정부의 규제, 지리적 요인, 막대한 비용으로 진입하기 어려운 경우를 의미합니다. 예를 들어 삼성전자, sk하이닉스, 마이크론 등이 장악하고 있는 메모리 반도체의 경우 후발주자가 진입하려면 막대한 비용을 지불해야하며 비용을 회수할만큼의 수익을 얻을 수 없습니다.
- 비밀 : 지적 재산권 성격의 비밀이 있어서 다른 기업의 모방을 방지하는 경우다. 화이자와 머크처럼 특허 치료제를 보유한 기업은 특허가 만료되어 복제약이 출시되기 전까지 해자를 지닙니다. 3M처럼 제조법 공개를 피하기 위해 특허를 신청하지 않고 오랫동안 제품을 판매하는 경우도 있습니다.
- 가격 : 경쟁사보다 제품 및 서비스를 저렴하게 제공하면서 수익을 유지할 수 있는 경우를 의미합니다. 코스트코는 규모의 경제와 낮은 진열 비용을 바탕으로 가격 경쟁력을 지니고 있습니다.
투자하기 전에는 기업이 경제적 해자를 지녔는지 확인하고, 투자한 뒤에는 기업의 경제적 해자가 무너지지 않는지 지속적으로 관찰해야겠습니다.
2) 안전마진
주식을 어느 가격에 사야 안전마진이 유지 될까요? 안전마진을 알려면 우선 적정가격을 계산할 수 있어야 합니다. 책에서는 가격 산정 방법으로 세 가지를 제시합니다. 10캡, 투자 회수 기간, 안전마진 기준 가치 평가입니다. 차례대로 알아보겠습니다.
가. 10캡
10캡은 투자대비 현금수익 10%를 의미합니다. 투자 자산이 주주에게 투자금의 10%를 매년 환원할 수 있다면 적정한 가치라고 보는 것입니다. 버핏은 주주익을 구하는 방법으로 다음 수식을 제시합니다.
순이익
+유형자산 감가상각비
+무형자산 감가상각비
+순증감:매출채권
+순증감:매입채무
+법인세
+유지 목적 자본적 지출(음수)
= 주주이익
이 방법의 가장 어려운 점은 유지 목적 자본 지출을 구하는 것이 어렵다는 점입니다. 이것을 알려면 해당 기업에 대해서 구체적으로 알아야 합니다.
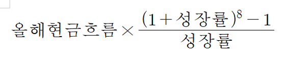
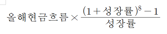
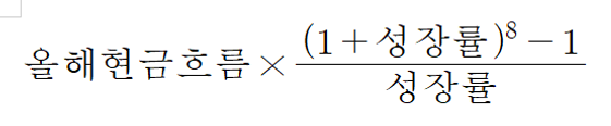
나. 투자 회수 기간
투자 회수 기간으로 기업의 가치를 산정하는 방법은 재무제표상 제공되는 잉여현금흐름의 8년치 누적분을 기업의 가치로 보는 것입니다. 이 때 단순히 올해 잉여현금흐름에 8을 곱하는 것이 아니라, 성장률도 고려해서 더합니다. 성장률이 일정하다면 등비수열의 합으로 구해도 무방하겠습니다.

예를 들어 올해 1억의 잉여현금흐름을 가진 기업의 성장률이 8%라면 이 기업의 가치는 올해 기준 10.6억으로 계산할 수 있는 식입니다. 물론 성장률이 유지되려면 경제적 해자가 유지되어야 합니다.
다. 안전마진 기준 가치 평가
안전마진법은 현금흐름할인법 DCF를 단순화한 방법입니다. 아빠 필 타운은 미국 국채 대신 위험자산에 투자하려면 최소한 15%의 복리 수익률을 얻을 수 있어야 한다고 주장합니다. 이 안전마진 수식은 다음과 같습니다.

이 때 편류PER은 성장률*2 값과 역사적 고점PER 중 낮은 값을 사용합니다.
3. 가치투자를 공부하는 스터디그룹에 나가는 느낌
많은 초보 투자자들이 지인의 종목 추천 혹은 유튜브, 경제 방송 등에서 정보를 얻습니다. 해당 정보의 가치를 스스로 평가할 수 없는 투자자는 이런 정보에 휘둘리고 이용당하기가 쉽습니다. 이 책은 초보자 투자자인 딸이 워렌 버핏과 찰리 멍거의 투자방법을 공부하고 자신의 원칙을 세우는 과정을 자세히 기록해둔 전기 같은 책입니다. 초보자인 딸이 예시와 체크리스트를 만들면서 공부해나가는 모습을 따라서 함께 공부해나간다면 어느새 스스로 기업의 가치를 평가할 수 있게 됩니다.
또한 딸 대니얼 타운의 개인사와 관련된 이야기를 읽는 동안 새로운 친구를 하나 사귀는 기분이 듭니다. 마치 친구와 가치투자 스터디그룹을 만들고 공부하는 느낌의 책 <아빠와 딸의 주식 투자 레슨>, 가치투자를 공부하려는 분들께 추천드립니다.
'경제독서' 카테고리의 다른 글
| [경제독서]박병창의 돈을 부르는 매매의 기술, 차트의 정석 (0) | 2022.02.20 |
|---|---|
| [경제독서]태쏘의 트레이딩 전략서, 당일 단타 매매 비급 (0) | 2022.02.17 |
| [경제독서]단기 투자 꿈나무를 위한 실전투자의 비밀 (0) | 2022.02.17 |
| [경제독서]포카라의 월급쟁이 투자자를 위한 투자 조언 (0) | 2022.02.12 |
| [경제독서]사경인 회계사의 주식초보를 위한 재무제표 도서 (0) | 2022.02.11 |